GM-LM Vendégváró


Elkészítés:
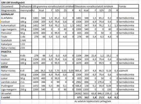
Barnalap elkészítése:
1. Margarint, porcukrot, 1 tojást, szalalkálit, kakaót, 2 EK tejet habosra kikeverjük
2. Hozzágyúrjuk a lisztet.
3. Sütőpapirból 2 db. tepsi méretének ( 36 x 20 cm) megfelelő nagyságot levágunk.
4. Tésztát felezzük, sütőpapiron nyújtjuk, tetejét rizslisztezzük, majd tepsi hátára csúsztatjuk, így sütjük
5. Sütés 160 fokon kb. 10 perc

Piskóta készítése
1. A tojásokat kettéválasztjuk.
2. Fehérjét csipet sóval kemény habbá verjük
3. Tojássárgákat cukorral krémesre keverjük.
4. Sárgakrémhez több részletben óvatosan hozzákeverjük a lisztet és fehérjehabot.
5. Sütőpapirral kibéleljük a tepsit, piskótatésztát belesimítjuk.
6. Sütés 160 fokon tűpróbáig., kb 15 perc
Krém készítése:
1. Összekeverünk 4 EK lisztet, a cukorral és pudingporral, csomómentesre elkeverjük a 6 dl natur rizstejjel.
2. Sűrűre főzzük, lehűtjük.
3. Margarint habosra keverjük a vaniliáscukorral, kanalanként hozzákeverjük a pudingkrémet.
Összeállítás:
1. Az egyik barnalapra rákenjük a krém felét.
2. Ráhelyezzük a piskótalapot, ezen egyenletesen elosztjuk a krém másik felét.
3. Barnalappal lefedjük.
A süteményt lenyomatjuk a tepsivel, aminek a közepére 1 kg súlyt helyezünk.
Megjegyzés:
Vigyázni kell, a barnalap könnyen törik (rendes liszttel is).
Nagymamám az ünnepek előtt mindig 1-2 nappal korábban elkészítette, hogy az ízek össze tudjanak érni, a lapok megpuhuljanak.
További GM-LM édes tészták, sütemények

Viletelné Markó Mária
Hotel Mama főszakácsa
06-30-2307529
herbapont@gmail.com
skype:markomari2
Még 1-2 ilyen finomság, és előbb-utóbb eljutsz arra a pontra, hogy....
Hogyan fogyhatsz glutén-, laktóz- és szójamentes diétával?
Van még 2 hírem. Tudod, a jó és a rossz.
Melyik a jó és melyik a rossz?
1. Az ideális testsúly, forma, közérzet, energiaszint felépítése, megtartása egy életre szóló projekt.
2. Hogyan építsd fel? Hogyan tartsd meg.
Amíg az oldal tulajdonosa nem helyez el itt tartalmat, addig a mai napi leglátogatottabb oldalak listája jelenik meg!
KIEMELT, REKLÁMMENTES OLDALAK
1. PRODUCATOR DE GARDURI KOTAJ
► GARDUL DIN PLASĂ DE SÂRMĂ ESTE CEL MAI IEFTIN GARD DIN LUME. LA NOI GĂSIŢI TOATE ELEMENTELE NECESARE, DE LA A LA Z. ŞI CE ESTE MAI IMPORTANT : TOTUL LA PREŢ DE PRODUCĂTOR !
gard.hupont.hu
► internetes munkák gyöngyszemei
globaldomains.hupont.hu
► Semiramis kávéval szebb a nap! A Boráros téri Duna Ház 1. emeletén található kávézónk célja, hogy Ön nyugodt és múlt századi hangulatot idéző környezetben élvezhesse a kávézás pillanatait.
godimento.hupont.hu
LEGLÁTOGATOTTABB OLDALAK (MAI).
1. ___ KÓTAJI KERÍTÉSGYÁRTÓ ___ MINDEN GYÁRI ÁRON !!!
► A DRÓTKERITÉS A LEGOLCSÓBB KERITÉS A VILÁGON. AMI SZÜKSÉGES HOZZÁ AZT NÁLUNK MEGTALÁLJA A-Z -ig. FÉM, ÉS BETON KERÍTÉSOSZLOPOK, HORGANYZOTT, ÉS ZÖLD DRÓTHÁLÓ, BETON LÁBAZATI ELEMEK, 3D-s KERÍTÉSPANELEK, ÉS KIEGÉSZITŐK.
kerites.hupont.hu
2. Karácsonyi kaktusz (Schlumbergera)
► sokféle hasznos tudnivaló a karácsonyi kaktuszokról,szaporításukról, szép fotók a virágokról, sok segítség a gondozáshoz.
karacsonyikaktusz.hupont.hu
► Hogyan fogyhatsz 50 felett gluténmentes diétával?
glutenmentesreceptek.hupont.hu
► Dr? Az itt lévő dr-ok jogosultak dr-ként a dr előtag használatára. A doktorokban, tanácsaikban megbízunk. De ön doktor? Nem vagyok Dr. De ettől még tudhatok. Tőlük tanulok 2011 óta. Dr...
dr-nem-doktor.hupont.hu
5. Veszélyes fakivágás Budapesten
► Veszélyes fakivágás Budapesten biztonságosan, garanciával +36 70 272 0149, minőségi szerszámok, elérhető ár, irányított fadöntés alpintechnikás favágás, email: krisztiankaroly77@gmail.com
fakivagasbudapest.hupont.hu
6. MaTi-CaR ALKATRÉSZEK ELÉRHETŐ ÁRON MISKOLCON....
► Új, utángyártott, és gyári alkatrészek elérhető áron Miskolcon. Minden autótípushoz: ALFA/AUDI/BMW/CITROEN/CHEVROLET/DAEWOO/FIAT/FORD/HONDA/KIA/LANCIA/LEXUS/MAZDA/MITSUBISHI/NISSAN/PEUGEOT/RENAULT/SAAB/SEAT/SKODA/VW alkatrészek elérhető áron..
alkatreszekmindenautohoz.hupont.hu
7. PRO-SPORT
► Bács-Kun Sport - Bácsalmás, Kunbaja és környéke sportja - folytatás: 2011./XVI. évfolyam Labdarúgás, Kézilabda, Asztalitenisz, Cselgáncs, Diáksport, BSC 1913-2013.
pro-sport.hupont.hu
8. Három szóban el tudom mondani, mit tanultam az életről: mindig megy tovább.
► "A világ minden szépségéért sem akarnám elcserélni az egyéniségemet, még akkor sem, ha nincs benne semmi különös. Én én magam vagyok, és ez több annál, amit néhányan elmondhatnak magukról."
mindigvantovabb.hupont.hu
9. Névnapi verses köszöntők, képeslapok - Pál Júlia tollából
► Különleges, verses névnapi köszöntők, képeslapok, nevek jellemzése, jelentése, saját versek
nevnapikoszontok.hupont.hu
10. Szélvédőjavítás, szélvédő javítás Budapest
► Szélvédő javítás Budapest és szélvédő csere 06 70 602 6000, akár 8000 Ft-tól, helyszíni kőfelverődés javítás hétvégén is!
szelvedojavitasa.hupont.hu
11. MaTi-CaR Alkatrészek - AUTÓALKATRÉSZEK ELÉRHETŐ ÁRON MISKOLCON...
► Új, utángyártott alkatrészek kedvező áron Miskolcon. AUDI, BMW, CITROEN, CHEVROET, DAEWOO, FIAT, FORD, HONDA, HYUNDAI, KIA, MAZDA, NISSAN, OPEL, PEUGEOT, RENAULT, SEAT, SKODA, VW alkatrészek! Szinte minden autóhoz alkatrészek elérhető áron..
maticar-alkatreszek.hupont.hu
12. Lakatos Budapest
► 40 éves tapasztalattal rendelkező lakatos Budapest területén és környékén vállalja kerítések, kapuk, korlátok, tetőszerkezetek elkészítését 06 30 768-3454; kovacsoltvaskerites@yahoo.com
lakatosbudapest.hupont.hu
13. Hy! Emo modellek minden mennyiségben ;D
► Hello! Üdv. Katinkaa és Cintikee oldalán :9 Reméljük tetszeni fog :9
emocsajokfiuk.hupont.hu
► Ezen az oldalon csak hírességek találhatók! Jó szórakozást az oldal nézegetéséhez! :)
csakhiressegek.hupont.hu
15. HATODIK NAPON
► HÍREK, ÖSSZEESKÜVÉSEK, FILMMOZAIK, STB.
hatodiknapon.hupont.hu
16. Műanyag ablak Budapest, beépítés, bontás, csere
► Akciós műanyag ablak Budapesten, nyílászáró beépítés, bontás, ablakcsere +36 70 772 9371
muanyagablakbudapest.hupont.hu
17. Hács története
► Író - szerkesztő: Kubik György
hacstortenete.hupont.hu
18. FRANCIA AUTÓALKATRÉSZEK - MaTi-CaR Alkatrészek elérhető áron Miskolcon....
► ÚJ, utángyártott Francia autóalkatrészek elérhető áron Miskolcon. CITROEN ALKATRÉSZEK-DACIA ALKATRÉSZEK-PEUGEOT ALKATRÉSZEK-RENAULT ALKATRÉSZEK-FRANCIA autókhoz alkatrészek elérhető áron..
francia-auto-alkatreszek.hupont.hu
19. Angol nyelvkönyv - azoknak akik szeretnének IGAZÁN jól angolul!
► Sokszor belefogtál már az angol nyelv megtanulásába, de mindig elakadtál? Megvan a megoldás! Ez a nyelvkönyv meg tud tanítani angolul.
angol-nyelvkonyv.hupont.hu
20. OPEL alkatrészek elérhető áron a MaTi-CaR Alkatrészeknél Miskolcon
► Gyári-, utángyártott Opel alkatrészek Miskolcon! Opel AGILA, ANTARA, ASTRA, CORSA, COMBO, FRONTERA, INSIGNIA, MERIVA, MOVANO, OMEGA, SIGNUM, TIGRA, VECTRA, VIVARO, ZAFIRA alkatrészek elérhető áron! Opel alkatrészek A-Z-ig!
opelhez-alkatreszek.hupont.hu
21. Sóder árak, sóder szállítás Budapest
► Sóder árak, sóder szállítás Budapest és környéke +36 21 300 7129 akár 1 m3 olcsó sóder!
soderarak.hupont.hu
22. BMW ALKATRÉSZ - MaTi-CaR Alkatrészek elérhető áron Miskolcon..
► BMW (1-es, 3-as, 5-ös, 6-os, 7-es, X, Z széria) gyári- és utángyártott alkatrészek széles választéka
bmw-alkatreszek.hupont.hu
23. Születésnapi köszöntő képeslapok,Névnapra virágok,png képek,
► Izabella képei
bellakep.hupont.hu
24. OLASZ AUTÓALKATRÉSZEK - MaTi-CaR Alkatrészek elérhető áron Miskolcon...
► ALFA ROMEO - FIAT - LANCIA autóalkatrészek hihetetlen áron! Olasz autóalkatrészek akciósan!
olasz-auto-alkatreszek.hupont.hu
25. Fabrikett Pest megye +36 70 410 7499
► Olcsó fabrikett és tüzifa eladó házhozszállítással Pest megye és Bp +36 70 410 7499. Akciós fabrikett forgalmazás kis és nagy tételben.
fabrikettpestmegye.hupont.hu
26. KÜLSŐ - BELSŐ AJTÓKILINCSEK ÉS FOGANTYÚK AKCIÓS ÁRON MISKOLCON...
► Audi, BMW, Chevrolet, Citroen, Dacia, Daewoo, Fiat, Ford, Honda, Hyundai, Isuzu, Iveco, Kia, Lancia, Mazda, Mercedes, Mitsubishi, Nissan, Opel, Peugeot, Renault, Saab, Seat, Skoda, Suzuki, Toyota, Volvo, VW minden, autótípushoz és márkához!!!
ajtokilincs-kulso-belso.hupont.hu
27. GOMBACSÍSZÁR
► Minden gomba ehető egyszer, de valamelyik valóban csak egyszer!!! Túrázók, természetjárók, és gombázók oldala, és mindenkié aki szereti a természetet! Engedje meg, hogy bevezessem a "viláGOMBA"! (2009)
gombacsiszar.hupont.hu
28. Hulladékudvar Budapest +36 30 90 30 300
► Sittlerakási lehetőség, szemétlerakó hulladékudvar Budapesten a XVII. kerületben +36 30 90 30 300
hulladekudvarbudapest.hupont.hu
► Eladó tüzifa Budapesten házhozszállítással, akác, bükk, gyertyán, tölgy tüzifa méterben, hasítva, kalodázva 06 70 410 7499.
tuzifabudapesten.hupont.hu
30. Eladópont
► +36 30 494 1848 53gyula19@freemail.hu
eladopont.hupont.hu
31. Hogy áll a ház? - Egy családi ház építése.
► Egy családi ház építésének folyamatai képekkel, leírásokkal. 2012 - 2013
hogyallahaz.hupont.hu
32. TÜKÖRÁLTALTALÁNYOS 1KORINTUSI 13,12
► A LEGSZEBB TÖRTÉNET SZÍNEZHETŐ FORMÁBAN ÉS SZÍNES DIA KÉPEK HITTANÓRÁKRA. Egyéb hittitkok kibontásához gondolatmenetek és segédrajzok.
tukoraltaltalanyos.hupont.hu
33. FŰTŐMOTOR-ELLENÁLLÁS-FŰTŐRADIÁTOR - MaTi-CaR Alkatrészek Miskolcon...
► Audi BMW Chevrolet Citroen Dacia Daewoo Fiat Ford Honda Hyundai Isuzu Iveco Kia Lanci Mazda Mercedes Mitsubishi Nissan Opel Peugeot Renault Saab Seat Skoda Suzuki Toyota Volvo VW fűtőmotor előtét ellenállás, fűtőradiátor, fűtőventillátor
futomotorelotetellenallas.hupont.hu
► Indesit, Ariston, Gorenje, Samsung, Whirlpool, Candy, Siemens, Bosch, Zanussi, Electrolux, Szakszerviz. MOSÓGÉP - MOSOGATÓGÉP - SZÁRÍTÓGÉP - VILLANY TŰZHELY - FŐZŐLAP javitás. Elérhetőségeink: 0612420618, 0612746042, 06308944199,
szervizkozpont.hupont.hu
35. BABAGYŰJTEMÉNY
► Gazdag Katalin népviseleti és nemzetközi babagyűjteménye - Doll Collection
babagyujtemeny.hupont.hu
36. Sicambria-Alba Regale-Fehérvár, Buda Vetus-Ősbuda-Óbuda
► Királyi fehér fővárosunk Sicambria, Alba Regalis, Fehérvár, Buda Vetus, Ősbuda azaz Óbuda, Szűz Mária sziget, Veteri Pest-Antiqua Pest ősi városaink és múltunk eltitkolt történelmünk kutatásával és feltárásával foglalkozó oldal
albaregalis.hupont.hu
37. FORD alkatrészek elérhető áron a MaTi-CaR Alkatrészeknél Miskolcon
► Gyári alkatrészek,Utángyártott alkatrészek elérhető áron Miskolcon. FORD-ESCORT, C-MAX,GALAXY,FIESTA,FOCUS,FUSION,KA,MONDEO,RANGER, S-MAX,TRANSIT alkatrészek elérhető áron..
fordalkatreszmiskolc.hupont.hu
38. Új és használt robogó , motor kereskedés, bizományos értékesítés
► Aprilia, Benelli, Gilera, Keeway, Piaggio, Vespa márkakereskedés és garancia szakszerviz. Használt motor és robogó kereskedés Budapesten. Bizományos értékesítés. Gyári és utángyártott alkatrészek raktárról. Robogó tuning és teljesítménynövelés
keewayszerviz.hupont.hu
39. RE - FLEXI - OK
► "Ágyúval verébre?!"
reflexiok.hupont.hu
40. http://tukoraltaltalanyos.hupont.hu/ REJTVÉNYEK KICSIKNEK
► Ezen az oldalon Bibliai ihletésű, rejtvényeket találhattok rejtvénytípusonként csoportosítva.
rejtvenyekkicsiknek.hupont.hu
41. PRO-SPORT 3
► PRO-SPORT, PRO-SPORT2, PRO-SPORT3, Bács-Kun Sport - Bácsalmás, Kunbaja és környéke sportja - folytatása: 2012./XVII. évfolyam Labdarúgás, Kézilabda, Asztalitenisz, Cselgáncs, Diáksport, BSC 1913-2013. 100 éves a BSC, Centenárium előtt a BSC
pro-sportharom.hupont.hu
42. NUMIZMATIKA a fémpénzek és bankjegyek képeivel
► A fémpénzek és a bankjegyek világa. The World of the Coins and the Banknotes.
numizmania.hupont.hu
43. Autódiagnosztika Budapest kiszállással 06 70 352 1562
► Olcsó autódiagnosztika Budapest kiszállással akár azonnal, hibakód olvasás és törlés 06 70 352 1562
autodiagnosztikabudapest.hupont.hu
44. TOYOTA ALKATRÉSZ MISKOLCON! TOYOTA ALKATRÉSZEK AKCIÓS ÁRON!
► Gyári-, utángyártott autóalkatrészek TOYOTA 4-RUNNER, AYGO, AVENSIS, AURIS, CAMRY, CARINA, CELICA, COROLLA, DYNA, HIACE, HILUX, IQ, LAND CRUISER, PICKUP, PREVIA, PRIUS, PREMIO, RAV4, STARLET, URBAN CRUISER, VERSO, YARIS típusokhoz akciós áron!
toyota-alkatreszek.hupont.hu
45. Minden ami számvitel... A-tól Z-ig
► Számvitel vizsgára készülsz, vagy szeretnéd ismereteidet bővíteni, netán most ismerekedsz a tantárggyal vagy csak egyszerűen kíváncsi vagy? Ha a válasz igen, akkor itt a helyed! Gyere, és számvitelezz Te is!
szamvitelezz.hupont.hu
46. ZSUZSAMAMA ELSŐ FŐZŐOLDALA
► Sütés, főzés, kezdőknek és haladóknak. ZSUZSAMAMA MÁSODIK FŐZŐOLDALA linkje: http://zsuzsamamaketto.hupont.hu/
zsuzsannamama.hupont.hu
47. VW ALKATRÉSZ MaTi-CaR - VOLKSWAGEN Alkatrészek elérhető áron Miskolcon..
► VW gyári, utángyártott autóalkatrészek (Amarok, Bora, Caddy, CC, Crafter, Derby, Eos, Fox, Golf, Jetta, Kaefer, LT , Lupo, Multivan, New Beetle, Passat, Phaeton, Polo, Scirocco, Sharan, Spacefox, Tiguan, Touareg, Touran, Transporter, Vento)
vw-alkatreszek.hupont.hu
48. Karcagi Kunlovarda - Lovas programok - Vendéglátás - Pihenés
► Lovas programok, lovasoktatás, lovaskocsikázás, relaxációs lovaglás, csikós bemutató hangulatos családi környezetben
kunlovarda.hupont.hu
49. ~Csajsziknak~
► Sziasztok! Ez az oldi igazi csajszis oldal! Itt mindent megtudhatsz! Sztárok, szépségtippek vagy csak egy kis szórakozás! Jó nézegetést! A szerki :3 Néhány részt magazinokból lestem el, mert nem volt ötletem :P meg hogy tippeket nézz
csajszik-oldala-love-it.hupont.hu
50. Elektromos kerékpárok legolcsóbban, garanciával. +36/70-701-8435
► E-bicikli, elektromos robogó, elektromos kerékpár, akkumulátor, garancia és folyamatos alkatrész utánpótlás.
elektromosbicikli.hupont.hu
51. Digitális eszközökkel támogatott matematikatanítás alsó tagozaton
► Gyakorlófeladatok matematika tanításhoz, felzárkóztatáshoz, tehetséggondozáshoz
digimatekalso.hupont.hu
52. SEAT ALKATRÉSZ MISKOLCON! SEAT alkatrészek elérhető áron Miskolcon...
► SEAT gyári-, utángyártott alkatrészek minden típushoz! ALHAMBRA, ALTEA, ALTEA XL, AROSA, CORDOBA, EXEO, IBIZA, INCA LEON, TOLEDO
seat-alkatreszek.hupont.hu
53. Dr. Estók Bertalanné Olivia honlapja
► Élményeim...
esolivia.hupont.hu
54. Naposcsibe, napos gyöngyös eladó, csirke, házi csibe a vésztői keltetőből
► Üdvözlöm a Vésztői Baromfiudvar Családi Gazdaság oldalán, ajánlatunk: hagyományos háztáji fajták, farm fajtaváltozatok, vörös, sárga, tarka, kendermagos, kopasznyakú, tojó és vörös húshibrid naposcsibe rendelhető
csibekelteto.hupont.hu
55. MaTi-CaR Alkatrész- Koreai és Japán autóalkatrészek elérhető áron Miskolcon
► Gyári-, utángyártott Koreai és Japán alkatrészek elérhető áron Miskolcon! CHEVROLET/DAEWOO/HONDA/HYUNDAI/ISUZU/INFINTI/KIA/MAZDA/MITSUBISHI/NISSAN/TOYOTA
japanautoalkatresz.hupont.hu
56. PRODUCATOR DE GARDURI KOTAJ
► GARDUL DIN PLASĂ DE SÂRMĂ ESTE CEL MAI IEFTIN GARD DIN LUME. LA NOI GĂSIŢI TOATE ELEMENTELE NECESARE, DE LA A LA Z. ŞI CE ESTE MAI IMPORTANT : TOTUL LA PREŢ DE PRODUCĂTOR !
gard.hupont.hu
57. HOKÉV horgászbotok és egyebek...
► HOKÉV horgászbotok képekkel, horgászbotok felújítása - részletes, fényképes leírással, horgászorsók a '70-es, '80-as évekből, régi horgászorsók felújítása, karbantartása
hokevhorgaszbotok.hupont.hu
58. TEMATIKUS HITTAN
► Személyek, fogalmak gyakran előforduló tárgyak, szimbólumok gyűjteménye, melyeket a rejtvényeimből válogatok keresztény hitoktatók és tanítványaik részére.
tematikushittan.hupont.hu
59. Alumínium gondozás mentes kerítés. Kovácsoltvas kerítés,korlát készítés.
► Gondozás mentes alumínium kerítés. Kovácsoltvas kapu,kerítés, korlát készítést. Egyéb fémszerkezetek ,lakatos ,díszműlakatos munkák kivitelezése!
borbas-kovacsmester.hupont.hu
60. VICTORY DEKOR
► A Nagykanizsán 1994 óta működő Victory Dekor célja vállalkozók, cégek és magánszemélyek reklám,dekorációs igényeinek kielégítése. Bízom benne, hogy hamarosan Önt is elégedett ügyfeleim között köszönthetem.
victorydekor.hupont.hu
61. Érd info
► Minden információt ÉRDről az ÉRDi polgároknak és az ÉRDeklődőknek.
erd.hupont.hu
62. érembolt (limited issue) Lapis András szobrászművész érmei
► Kedvező ár! Gazdag választék! Magas művészi színvonal, alacsony példányszám! Kapcsolat: +36 30 9 68 41 63
erembolt.hupont.hu
63. Twilight-New Moon-Eclipse-Breaking Dawn
► Nagyon jó filmek és könyvek érdemes megnézni ... és elolvasni :)
minden-ami-twilight.hupont.hu
64. Kasza Tamás, Lezárás Specialista Oldala
► Ha már értékesítesz, akkor keress vele pénzt is, ismerd meg a lezárás lépéseit: www.lezarasspecialista.hu
lezarasspecialista.hupont.hu
65. MAGYAR Locsolótömlő, ipari tömlő, öntözés, kert, otthon
► locsolótömlő, kerti tömlő, szivattyútömlő, szívótömlő, tömlővég, tömlőösszekötő, tömlőcsatlakozó, szivattyú, gyorscsatlakozó, 1"-os gyorscsatlakozós rendszer, bilincs, szórófej, takaróponyva, szerelvény, Weekend Master, Master Extra, Master Plus, ATS
locsolotomlo.hupont.hu
66. Gyújtótrafók, -tekercsek - MaTi-CaR Alkatrészek elérhető áron Miskolcon...
► Trafók Audi, Bmw, Citroen, Chevrolet, Dacia, Daewoo, Fiat, Ford, Honda, Hyundai, Isuzu, Iveco, Kia, Lancia, Mazda, Mercedes, Mitsubishi, Nissan, Opel, Peugeot, Renault, Saab, Seat, Skoda, Suzuki, Toyota, Volvo, Vw és minden más autótípushoz
trafo-gyujtotrafo.hupont.hu
67. HÁRMASHATÁRHEGYI SPORTREPÜLÉSÉRT ALAPÍTVÁNY
► A sportrepülők és egyesületeik érdekvédelmi szervezete. Közhasznú szervezet. Alapítva 1990-ben.
harmashatarhegy.hupont.hu
► Sütemények és ételreceptek saját gyűjteménye
ki-suti.hupont.hu
69. Sya!
► Itt sokmindent megtalálsz pld: rólam,ebneveldét,justint,vicceket,kutyás avatarokat...na szóval itt sokmindent találsz, de ne felejtsd HA EGYSZER BETÉRTÉL GYERE MÁSKOR IS!!
betueseb.hupont.hu
70. Szent Rita aki a legnehezebb helyzetekben is segít..
► Az ima és a hit.. E két egység ami minden esetben és a legnehezebb helyzetekben is velünk van. Kedves Olvasó!Ne hidd, hogy "közhelyes" és nevetséges az amit e két szó hordoz. Nekem jelenleg nincs másom csak hitem. És tudom az ima segít.
szentrita.hupont.hu
71. Ezo Hírnök
► www.ezohirnok.hupont.hu
ezohirnok.hupont.hu
72. Bárdudvarnok bemutatása, turisztikai és kulturális programok
► Ha szeretnél pihenni, sok érdekességet megismerni látogass el Bárdudvarnok környékére
bardudvarnok.hupont.hu
73. NAPCSILLAG
► HÍREK, ÖSSZEESKÜVÉSEK, FILMMOZAIK, STB.
napcsillag.hupont.hu
74. MOTORTARTÓ-, VÁLTÓTARTÓ BAK - MaTi-CaR Alkatrészek elérhető áron Miskolcon
► Motortartó bak és váltótartó bak Audi BMW Chevrolet Citroen Dacia Daewoo Fiat Ford Honda Hyundai Isuzu Iveco Kia Lanci Mazda Mercedes Mitsubishi Nissan Opel Peugeot Renault Saab Seat Skoda Suzuki Toyota Volvo VW minden autótípushoz és márkához!!!
motortarto-valtotartobak.hupont.hu
► Ahogy a teremtés vagy a rendrakók szerkesztik
latomszol.hupont.hu